راهاندازی موتور سهفاز با برق تکفاز یکی از چالشهای رایج در صنایع و کارگاههاست که به دلایل مختلفی مانند عدم دسترسی به برق سهفاز یا محدودیتهای اقتصادی، نیاز به انجام آن احساس میشود. در این مقاله، به بررسی روشهای مختلف راهاندازی موتور سهفاز با برق تکفاز، مزایا، معایب و نکات اجرایی آن خواهیم پرداخت.
ساختار موتور سهفاز
موتورهای سهفاز از سه سیمپیچ با زاویه 120 درجه نسبت به هم تشکیل شدهاند که به آنها فازهای U، V و W گفته میشود. این ساختار باعث تولید میدان مغناطیسی چرخان میشود که برای راهاندازی و عملکرد موتور ضروری است. در برق تکفاز، تنها دو فاز در دسترس است که برای راهاندازی موتور سهفاز به روشهای خاصی نیاز است.
چرا نمیتوان مستقیماً موتور سهفاز را با برق تکفاز تغذیه کرد؟
اگر موتور سهفاز را مستقیماً به برق تکفاز وصل کنیم (یعنی فقط به دو سیم از سه سیمپیچ موتور برق وصل کنیم)، چه اتفاقی میافتد؟
اختلال در میدان دوار
با تکفاز، ما فقط یک موج جریان داریم. این جریان فقط یک میدان مغناطیسی پالسی (Pulsating Field) ایجاد میکند، نه یک میدان دوار. میدان پالسی فقط در جهت جلو و عقب نوسان میکند و نمیتواند به تنهایی چرخش ایجاد کند. این وضعیت شبیه این است که چرخ و فلک را فقط یک نفر در یک جهت هل دهد و بلافاصله عقب بکشد. نتیجه، لرزش و عدم حرکت است.
کاهش گشتاور راهانداز
اگر موتور در حال چرخش نباشد، میدان مغناطیسی پالسی گشتاور خالص راهاندازی ایجاد نمیکند. موتور فقط وزوز کرده و تکان میخورد، اما راهاندازی نمیشود. اگر آن را با دست بچرخانید، ممکن است به حرکت خود ادامه دهد (به دلیل نظریه دو میدان دوار که برای بحث فنیتر است)، اما هرگز بهطور خودکار روشن نخواهد شد.
ناپایداری عملکرد و لرزش
حتی اگر موتور به نوعی روشن شود، میدان پالسی باعث میشود که گشتاور تولید شده در هر نیمسیکل صفر شود، و این امر منجر به لرزش و نوسان مکانیکی شدید در موتور میشود. این نوسانات به شفت، کوپلینگها و بار آسیب میرساند و عمر مفید موتور را کاهش میدهد.
تلفات و حرارت اضافی
به دلیل عدم تقارن در سیمپیچها و عملکرد غیریکنواخت، جریانی که موتور میکشد بیشتر از حالت سهفاز خواهد بود. این امر منجر به تلفات مسی (Copper Losses) و افزایش شدید دما در سیمپیچها میشود که میتواند موتور را در درازمدت بسوزاند. در واقع، موتور در حالت تکفاز نمیتواند توان نامی خود را تحویل دهد.
راهاندازی موتور سهفاز با برق تکفاز یکی از چالشهای مهم در تعمیرات برق صنعتی محسوب میشود که نیازمند دانش فنی و تخصصی ویژهای است، زیرا انتخاب نادرست یا نصب اشتباه میتواند منجر به آسیب دیدن موتور و کاهش عمر مفید تجهیزات شود. بنابراین، آشنایی با اصول راهاندازی موتورهای سهفاز در محیطهای تکفاز و انجام تعمیرات دقیق، نقش کلیدی در بهبود عملکرد و افزایش بهرهوری سیستمهای برقی صنعتی دارد.

روشهای راهاندازی موتور سهفاز با برق تکفاز
روشهای راه اندازی موتور سه فاز با برق تکفار به شرح زیر است:
استفاده از خازن
در این روش، از خازن برای ایجاد فاز سوم استفاده میشود. خازن به دو صورت استارت و رانینگ در مدار قرار میگیرد. خازن استارت برای راهاندازی موتور و خازن رانینگ برای حفظ میدان مغناطیسی چرخان استفاده میشود. این روش برای موتورهای با توان پایین مناسب است و راندمان کمتری دارد.
ما در این روش به دو نوع خازن اصلی نیاز داریم:
خازن دائم کار (Run Capacitor): این خازن در تمام طول کارکرد موتور در مدار باقی میماند. وظیفه اصلی آن تثبیت میدان مغناطیسی در حین کار است. این خازنها معمولاً از نوع روغنی یا فیلمی هستند و برای کار مداوم طراحی شدهاند.
خازن راهاندازی (Start Capacitor): این خازن تنها برای چند ثانیه اول، زمانی که موتور نیاز به گشتاور بالایی برای غلبه بر اینرسی دارد، وارد مدار میشود. ظرفیت آن بسیار بزرگتر از خازن دائم است. این خازنها معمولاً از نوع الکترولیتی هستند و باید پس از رسیدن موتور به 75% سرعت نامی، توسط یک کلید گریز از مرکز (یا رله جریانی/ولتاژی) از مدار خارج شوند.
1- محاسبه ظرفیت خازن: فرمول و جدول
تعیین ظرفیت خازن بسیار حیاتی است، زیرا خازن بیش از حد بزرگ باعث حرارت بالا و خازن کوچک باعث کاهش گشتاور میشود.
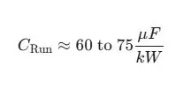
فرمول تقریبی: سادهترین قانون تجربی برای خازن دائم کار (برحسب میکروفاراد (μF)) به ازای هر کیلووات (کیلووات) توان نامی موتور:

به عنوان مثال، برای یک موتور 2.2 kW (تقریباً 3 اسب بخار):

ظرفیت این خازن باید حدود 2 تا 3 برابر خازن دائم کار باشد.
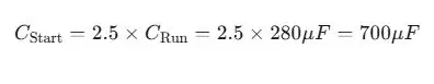
مثال عددی: فرض کنید یک موتور سهفاز 4 kW (وات) داریم که میخواهیم آن را با 220V تکفاز راهاندازی کنیم:
محاسبه خازن دائم (C run):

ما باید از یک خازن استاندارد نزدیک به این مقدار (مثلاً 250μF یا 300μF) استفاده کنیم.
محاسبه خازن راهاندازی (C start):

باید خازنی در محدوده 650μF تا 750μF انتخاب کنیم.
2- نحوه اتصال خازن در مدار :
موتور سهفاز باید در اتصال مثلث (دلتا) سیمبندی شود، حتی اگر در حالت سهفاز اصلی بهصورت ستاره (استار) بسته میشد. در اتصال مثلث (220V)، ولتاژ سیمپیچها برابر ولتاژ تکفاز موجود است.
سیمپیچ اصلی: فاز (L) و نول (N) به دو سر یکی از سیمپیچها وصل میشوند.
سیمپیچ کمکی: خازن دائم کار به صورت سری بین فاز (L) یا نول (N) و سیم سوم موتور وصل میشود.

روش ترکیبی: خازن دائم + خازن راهاندازی
برای موتورهایی که زیر بار سنگین راهاندازی میشوند (مانند کمپرسور یا میکسر)، نیاز به گشتاور راهاندازی بالاتری است. در این حالت، از خازن دائم (برای کارکرد) بهعلاوه خازن راهاندازی (فقط برای لحظه اول) استفاده میشود. همانطور که اشاره شد، خازن راهاندازی باید پس از راهاندازی از مدار خارج شود تا آسیب نبیند.
تغییر جهت موتور با خازن
جهت چرخش موتور با خازن به این بستگی دارد که خازن به کدام سیمپیچ و در کدام جهت متصل شود. برای تغییر جهت چرخش، کافی است اتصال سیمپیچ کمکی و خازن را جابهجا کنید؛ به عبارت دیگر، اتصال خازن را از یک سر سیمپیچ اصلی به سر دیگر آن تغییر دهید.
نکات مهم:
ولتاژ خازن: ولتاژ کاری خازن باید حداقل 1.5 تا 2 برابر ولتاژ خط باشد (مثلاً برای برق 220V، خازن 400V یا 450V).
سیمبندی: موتور حتماً باید بهصورت مثلث (220V) بسته شود وگرنه سیمپیچها میسوزند.
توان محدود: این روش برای موتورهای با توان کمتر از 5 hp (تقریباً 4 kW) مناسب است و در توانهای بالاتر بازدهی بسیار پایین میآید.
استفاده از اینورتر (VFD)
اینورتر یا درایو فرکانس متغیر (VFD) با تبدیل برق تکفاز به سهفاز، امکان راهاندازی موتور سهفاز را فراهم میکند. این روش مزایایی مانند راهاندازی نرم، کنترل سرعت و کاهش جریان راهاندازی دارد. با این حال، هزینه اولیه بالاتری دارد و برای موتورهای با توان بالا مناسبتر است.
روش مدرن و کارآمدتر، استفاده از یک دستگاه الکترونیک قدرت به نام اینورتر یا درایو فرکانس متغیر (Variable Frequency Drive – VFD) است.
اینورتر یک مبدل است که دو وظیفه اصلی را انجام میدهد:
تبدیل AC به DC (رکتیفایر): برق ورودی 220V تکفاز (AC) را دریافت کرده و آن را به ولتاژ DC (تقریباً 310V تا 350V) تبدیل میکند.
تبدیل DC به AC سهفاز (اینورتر): از طریق قطعات نیمههادی سریع مانند IGBTها، ولتاژ DC را با یک تکنیک به نام مدولاسیون عرض پالس (Pulse Width Modulation – PWM) به سیگنالهای AC سهفاز تقریباً سینوسی تبدیل میکند. این خروجی کاملاً متقارن و بالانس است.
1- انتخاب اینورتر مناسب (توان، جریان، کنترل)
انتخاب اینورتر باید بر اساس چند پارامتر حیاتی پلاک موتور باشد:
توان (Power) و جریان نامی (Rated Current): ظرفیت جریان اینورتر باید بزرگتر یا مساوی جریان نامی موتور باشد. اگر بار سنگین است (مثل جرثقیل)، بهتر است اینورتر با یک رده بالاتر انتخاب شود.
ولتاژ ورودی و خروجی: مطمئن شوید اینورتر انتخابی ورودی تکفاز 220V و خروجی سهفاز 220V (یا 380V در صورت نیاز به ترانسفورماتور) را پشتیبانی میکند.
قابلیتهای کنترل: پارامترهای مانند نوع کنترل (V/F یا وکتور)، فرکانس خروجی و پورتهای ارتباطی (مانند RS-485) نیز در انتخاب مهم هستند.
2- روش اتصال ورودی تکفاز و خروجی سهفاز
اتصال اینورتر بسیار ساده و منطقی است:
ورودی: دو سیم برق تکفاز (L و N) به پایانههای ورودی اینورتر (معمولاً L1/R و L2/S) متصل میشوند.
خروجی: سه سیم خروجی اینورتر (معمولاً U, V, W) مستقیماً به سه سر سیمپیچهای موتور متصل میشوند.
سیمبندی موتور: اگر اینورتر 220V سهفاز خروجی میدهد، موتور باید در حالت مثلث (220V) سیمبندی شود تا ولتاژ سیمپیچ با ولتاژ خروجی اینورتر مطابقت داشته باشد.

3- محدودیتهای توان
یک قانون کلی وجود دارد: نباید موتوری با توان نامی بالاتر از توان نامی اینورتر را به آن متصل کرد. اینورتر فقط میتواند جریانی را تأمین کند که برای آن طراحی شده است. تلاش برای راهاندازی موتور بزرگتر منجر به خطای اضافه جریان (Overcurrent fault) و خاموش شدن درایو میشود. البته در برخی بارهای سبک (مثل فنهای کوچک)، ممکن است بتوان یک موتور کمی بزرگتر را با محدود کردن فرکانس یا تنظیمات خاص راهاندازی کرد، اما این کار توصیه نمیشود.
تبدیل برق تک فاز به سه فاز یک فرآیند فنی است که نیازمند رعایت استانداردها و بررسی دقیق تجهیزات الکتریکی میباشد. پس از انجام این تبدیل، انجام بازرسی فنی ضروری است تا از صحت عملکرد سیستم، ایمنی تجهیزات و جلوگیری از بروز مشکلات احتمالی اطمینان حاصل شود. با
مقایسه دو روش برای راه اندازی موتور سه فاز با برق تک فاز
انتخاب بین خازن و اینورتر یک تصمیم تجاری و فنی است که به هدف شما بستگی دارد.
| پارامتر | روش خازن | روش اینورتر |
|---|---|---|
| گشتاور راهاندازی | ضعیف تا متوسط | بسیار عالی (قابل تنظیم) |
| بازدهی موتور | کاهش مییابد (توان خروجی کمتر میشود) | حفظ میشود (یا حتی به دلیل کنترل بهتر، بهینه میشود) |
| کیفیت برق موتور | نامتعادل و دارای نوسان | کاملاً متعادل و سهفاز سینوسی |
روش خازن بهترین انتخاب از نظر هزینه اولیه است. این روش برای کسانی که به ندرت و برای مدت کوتاهی از موتور کوچک استفاده میکنند، اقتصادی است. روش اینورتر دارای هزینه اولیه بالایی است، اما اگر موتور بهطور مداوم کار میکند، صرفهجویی در مصرف انرژی و کاهش تلفات، هزینه اولیه را در طول زمان جبران میکند.
پیادهسازی گام به گام در یک پروژه عملی
۱. ابتدا پلاک موتور را بخوانید: توان، ولتاژ سهفاز، جریان نامی، نوع اتصال (مثلث یا ستاره).
۲. تعیین روش مناسب (خازن یا اینورتر) بر اساس توان، هزینه، نیاز به کنترل.
۳. اگر روش خازن انتخاب شد، مقدار اولیه خازن را تعیین کنید (مثلاً ۵۰ میکرو فاراد بر اسب).
۴. مدار نصب کنید: خازن را به فاز/نول و سیمپیچ مناسب وصل کنید.
۵. اگر نیاز به خازن استارت دارید، از رله یا کلید استفاده کنید تا هنگام راهاندازی به مدار اضافه شود و بعد حذف گردد.
۶. اگر روش اینورتر انتخاب کردید، اینورتر مناسب را انتخاب کنید و اتصالات ورودی و خروجی را صحیح انجام بدهید.
۷. پس از راهاندازی، جریانها و ولتاژها را اندازه بگیرید. اگر جریان زیاد است یا موتور داغ میکند، ظرفیت خازن را تنظیم کنید یا نوع اینورتر را بازبینی کنید.
۸. تست عملکرد در بار واقعی و سنجش کارایی
۹. نصب محافظها برای اضافه بار، جریان زیاد، دما
پس از نصب، مرحله راهاندازی و تست بسیار حیاتی است:
روش خازن: جریان سهسیم موتور را در حین کار اندازهگیری کنید. اگر اختلاف جریانها زیاد است، ظرفیت خازن را تنظیم کنید.
روش اینورتر: پارامترهای موتور (فرکانس، ولتاژ، جریان) را وارد اینورتر کنید. یک تست ساده V/F اجرا کنید تا از صحت عملکرد کنترل سرعت مطمئن شوید.
اگر موتور داغ کرد، یا اینورتر خطا داد (مثلاً خطای OC – اضافه جریان)، اولین اقدام بررسی اتصالات، سیمبندی (دلتا بودن) و مطابقت توانها است. درایوهای فرکانس متغیر دارای کدهای خطای پیشرفته هستند که میتوانند عیبیابی را بسیار سادهتر کنند.
جمعبندی و نتیجهگیری
موتورهای سهفاز، قلب تپنده صنعت هستند و در بسیاری موارد، با استفاده از تکنیکهای هوشمندانه، میتوانند با برق تکفاز نیز به کار گرفته شوند.
برای راهاندازیهای ساده، ارزان، با توان پایین و بدون نیاز به تنظیم سرعت، روش خازنی یک راهحل سنتی و کاربردی است. اما اگر پروژه شما شامل توانهای بالاتر، نیاز به کنترل سرعت دقیق، راندمان بالا و حفاظت کامل است، بهترین و فنیترین انتخاب اینورتر (VFD) خواهد بود. اگرچه هزینه اولیه اینورتر بالاتر است، اما قابلیتهای کنترلی، صرفهجویی در انرژی و حفظ عمر موتور، آن را به سرمایهگذاری مناسبتری تبدیل میکند.
هیچکدام از این روشها ۱۰۰٪ ایدهآل نیستند. روش خازن توان خروجی را کاهش میدهد و کیفیت برق را نامتعادل میکند. اینورترها به نوسانات ولتاژ و محیطهای مرطوب/غبارآلود حساس هستند و نویز الکترومغناطیسی تولید میکنند که در محیطهای حساس باید با فیلترها مدیریت شود. در نهایت، همیشه پلاک موتور را مطالعه کنید و برای راهاندازی با برق تکفاز، موتور را در ولتاژ پایینتر خود (معمولاً 220V مثلث) سیمبندی کنید.


